您现在的位置是:网站首页 -> 前端开发 文章内容
OpenGL的矩阵转换及投影矩阵的计算方法-itarticl.cc-IT技术类文章记录&分享
发布时间: 5年前【前端开发】 229人已围观【返回】
图例:

首先,在第一张图中的红色坐标系是模型坐标系,这意味着在这一步,程序员指定了模型的各个点的位置。每个点是 (x, y, z) 组成的数组,比如用 WebGL 的话,相关代码可能是类似这样的:
var vertices = [
1, 0, 0.5,
-0.5, 0, 0.5,
0, 1, 0
];
gl.bufferData(gl.ARRAY_BUFFER, new Float32Array(vertices), gl.STATIC_DRAW);
后面的所有坐标变换都是 4x4 的齐次矩阵,所以这里除了每个点的 (x, y, z) 坐标之外,另外补上 1 组成 (x, y, z, 1) 的坐标。之所以使用齐次坐标,是为了将平移操作也统一成矩阵乘法的形式,如果用三维的坐标,就只能用两个矩阵向量相加表示,这样和旋转缩放就不统一了。
通过模型变换,把模型坐标转成世界坐标,就是第二张图中黑色的三角形相对于绿色的坐标系的坐标。世界坐标系就是所有模型共享的参考系,而模型坐标系是只对每个模型本身有意义的。为什么这么麻烦,不能直接在上一步写三个点的位置的时候,写成在绿色世界坐标系下的位置呢?想象一下,一个正三角形绕X 轴转 90°,再绕 Y 轴转30°,你能马上脑补出它旋转后每个点的坐标吗?即使可以,在更加复杂的场景下,这都会是一件非常困难的事。所以,模型变换解决的是,把物体在世界坐标系下的位置拆分成旋转、平移、缩放的表达方式。
视图变换的作用就更难理解了吧?它可以理解为,指定一个照相机的位置和角度,然后去观察世界坐标系下的物体。为什么不能把照相机的位置定在世界坐标系原点,看向Z方向负方向?当然也不是不能这样,只是很多时候做动画效果,场景中的物体可能是不变的,变的只是观察的位置和方向。这样的话,如果脑补观察位置改变后,模型所在的世界坐标,就像上面说的脑补在世界坐标系下的位置一样不直观。另外,既然世界上那么多模型是不动的,那么之前的其他矩阵的乘积也能被存下来复用,只要做一次乘以视图变换矩阵的操作,而非上图中的四次变换矩阵,减少矩阵乘法操作使得算法效率更高。
模型变换和视图变换都是通过旋转、平移、缩放的矩阵相乘实现的,具体矩阵参见:World, View and Projection Transformation Matrices。其实这里都是各种参考系的概念,就像我们在物理课上学到的相对的概念,坐在开动的车上的人会觉得是外部的世界在倒退,我们很容易想到,把照相机往一个方向上移动,相当于把观察对象往另外一个方向上移动。所以就有了模型视图矩阵的概念,本质上就是模型变换矩阵和视图矩阵相乘,但是如果把这个相乘结果存起来,对模型的点做批处理的话,效率就会比每个点去乘两次矩阵高得多。
投影变换就比较有意思了,它是把前面在三维空间中的坐标投影到二维屏幕坐标,但是计算结果也是一个三维坐标(严格来说是四维的,还有个齐次的 1),除了屏幕的横纵坐标之外,另一个维度就是垂直屏幕方向上的深度坐标,就是之后可以写入深度缓冲器的值。至于如何将三维坐标转换到二维屏幕,主要分为正交投影和透视投影,都是用相似三角形算比例,不同在于前者的实景体是一个长方体,而后者是一个梯台。需要注意的是,照相机的位置和旋转等值是在视图变换中就已经指定的,而投影变换只是三维到二维的过程。在第四张图中表现为紫色的三角形在橙色的坐标系下的位置。这里有非常好的通过相似三角形计算投影后的位置的文章,建议有兴趣的看一下。
最后就是视口变换了,到这一步其实已经很简单了!相比前面又是旋转平移缩放,又是相似三角形计算的,这里只是一个非常简单的 XoY平面上的缩放,它决定了最终渲染到平面的哪一块,所以用之前的缩放同样处理就能得到相应矩阵了。甚至你都不用写矩阵,即使在 WebGL里,也有直接设定视口(View Port)的命令。
gl.viewport(0, 0, this._canvas.width, this._canvas.height);
终于要大功告成了!接下来就是把这些矩阵拼起来了!(终于到了我能说“矩阵乘一乘啊”的时候了!)
变换后的坐标 = 视口矩阵 x 投影矩阵 x 视图矩阵 x 模型矩阵 x 模型点坐标
这里除了模型点坐标和变换后的坐标是 1x4 的向量之外,其他矩阵都是 4x4 的。虽然按理说是从右边到左边计算的,但很多时候左边的几个矩阵都是不变的,这时候可以把这些矩阵缓存起来,下次就直接成结果的一个矩阵就好。
投影矩阵的计算方法
电脑显示器是2D表面。由OpenGL渲染的3D场景必须作为2D图像投影到计算机屏幕上。GL_PROJECTION矩阵用于此投影变换。首先,它将所有顶点数据从眼睛坐标转换为剪辑坐标。然后,这些片段坐标还通过除以片段坐标的w分量而转换为归一化设备坐标(NDC)。

因此,我们必须记住,裁剪(视锥剔除)和NDC转换都已集成到GL_PROJECTION 矩阵中。以下各节描述了如何从6个参数构建投影矩阵。left,right,bottom,top,近边界和远边界值。
请注意,正好在用w c划分之前,在剪辑坐标中执行了平截头体剔除(裁剪)。夹子坐标x Ç,Y Ç和z Ç通过用瓦特比较测试Ç。如果任何剪辑坐标小于-w c或大于w c,则顶点将被丢弃。

然后,OpenGL将在发生剪裁的位置重建多边形的边缘。
透视投影

在透视投影中,将截锥形的视锥中的3D点(眼睛坐标)映射到立方体(NDC)。x坐标从[l,r]到[-1,1]的范围,y坐标从[b,t]到[-1,1]的范围,z坐标从[-n,-f]的范围到[-1,1]。
注意,眼睛坐标是在右手坐标系中定义的,但是NDC使用左手坐标系。也就是说,原点的相机在眼空间中沿-Z轴方向观看,但在NDC中沿+ Z轴方向观看。由于glFrustum()接受的唯一的正值附近及远的距离,我们需要GL_PROJECTION矩阵的施工过程中否定他们。
在OpenGL中,眼睛空间中的3D点投影到近平面(投影平面)上。下图显示了眼空间中的点(xe,ye,ze)如何投影到近平面上的(xp,yp,zp)。

从视锥的顶视图来看,眼空间的x坐标xe映射到xp,而xp是通过使用相似三角形的比率来计算的;

从视锥的侧面看,yp的计算方法也与此类似。

注意,xp和yp都取决于ze;它们与-z e成反比。换句话说,它们都被-ze除。这是构造GL_PROJECTION矩阵的第一个线索。在通过乘以GL_PROJECTION矩阵对眼睛坐标进行变换之后,剪辑坐标仍然是齐次坐标。通过除以剪辑坐标的w分量,最终成为归一化的设备坐标(NDC)。(请参阅有关OpenGL转换的更多详细信息。)

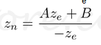
因此,我们可以将剪辑坐标的w分量设置为-ze。并且,GL_PROJECTION矩阵的第4个变为(0,0,-1,0)。

接下来,我们以线性关系将xp和yp映射到NDC的xn和yn。[l,r]⇒[-1,1]和[b,t]⇒[-1,1]。

然后,将xp和yp代入上述方程式。

请注意,我们将每个方程式的两个项都用-ze除以进行透视划分(xc / wc,yc / wc)。并且我们将wc设置为-ze较早,并且括号内的项变为clip coordiantes的xc和yc。
从这些方程式中,我们可以找到GL_PROJECTION矩阵的第一行和第二行。

现在,我们只需要解决GL_PROJECTION矩阵的第三行。找到zn与其他位置略有不同,因为在眼睛空间中的ze总是在近平面上投影为-n。但是我们需要唯一的z值进行裁剪和深度测试。另外,我们应该能够取消投影(逆变换)。由于我们知道z不依赖于x或y值,因此我们借用w分量来查找zn与ze之间的关系。因此,我们可以像这样指定GL_PROJECTION矩阵的第三行。

在眼空间中,w e等于1。

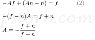
为了找到系数A和B,我们使用(ze,zn)关系;(-n,-1)和(-f,1),并将它们放入上式中。

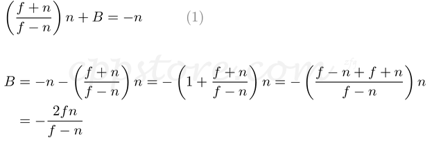
为了求解A和B的方程,对B重写等式(1);

将等式(1')替换为等式(2)中的B,然后求解A;

将A放入等式(1)中找到B ;

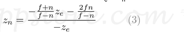
我们发现一个和乙。因此,ze和zn之间的关系变为:

最后,我们找到了GL_PROJECTION矩阵的所有条目。完整的投影矩阵为:

该投影矩阵用于一般的平截头体。如果观看量是对称的,即和,则可以简化为;

在继续之前,请再次看一下ze和zn之间的关系,式(3)。您会注意到它是有理函数,并且是ze和zn之间的非线性关系。这意味着在近平面上有非常高的精度,而在远平面上有非常低的精度。如果范围[-n,-f]变大,则会引起深度精度问题(z战斗)。ze在远平面附近的小变化不会影响zn值。n和f之间的距离应尽可能短,以最大程度地减少深度缓冲区的精度问题。

发布时间: 5年前【前端开发】229人已围观【返回】【回到顶端】
很赞哦! (3)
相关文章
文章评论
点击排行
单一职责原则、里氏替换原则、依赖倒置原则站长推荐
接口隔离原则、迪米特法则、开闭原则猜你喜欢
站点信息
- 建站时间:2016-04-01
- 文章统计:728条
- 文章评论:82条
- QQ群二维码:扫描二维码,互相交流




